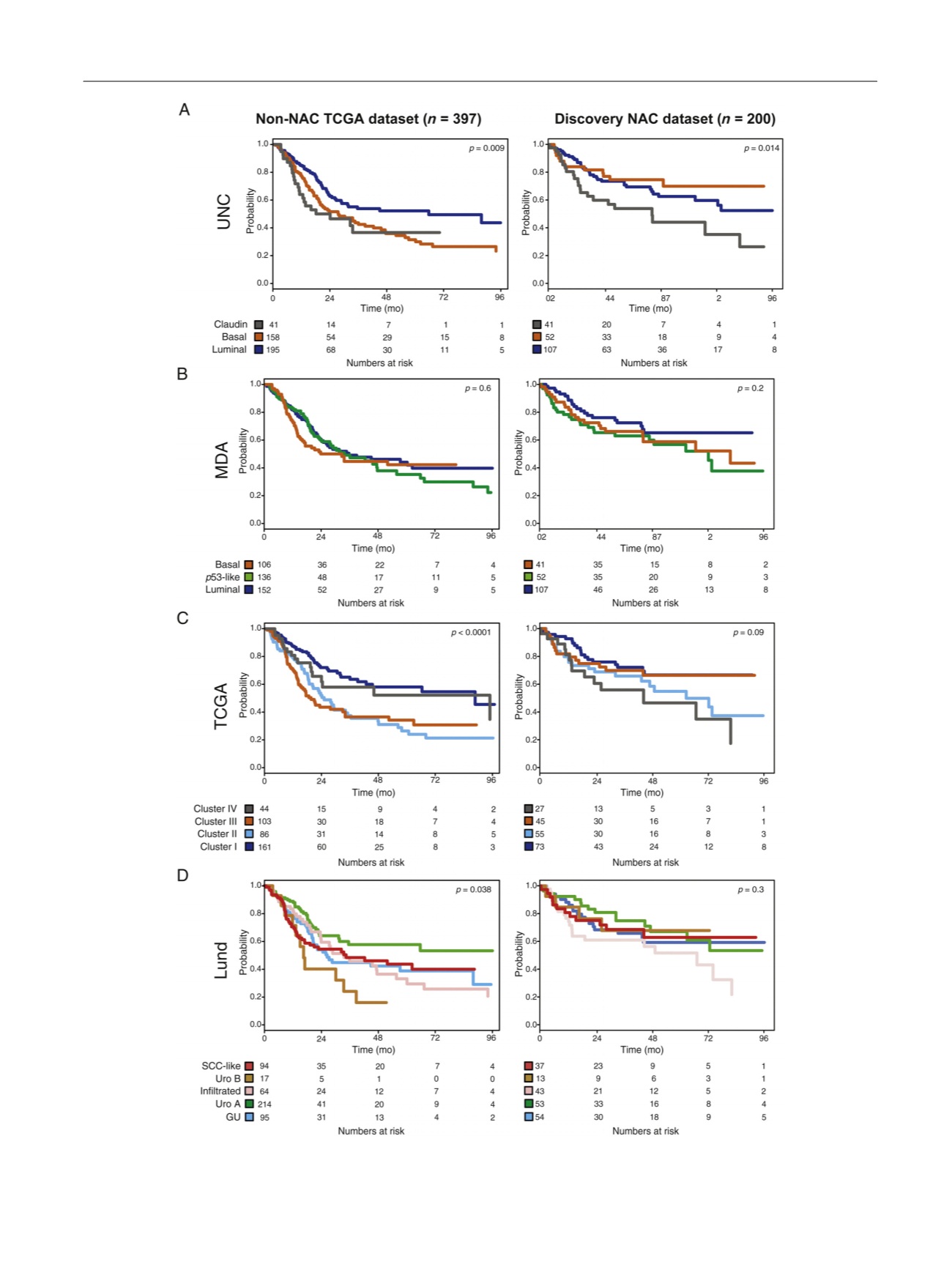
[(Fig._2)TD$FIG]
Fig. 2 – Kaplan–Meier estimates of OS according to molecular subtype in the non-NAC (left) and NAC (right) discovery datasets. (A) OS stratified
according to the UNC subtypes. In the non-NAC setting (TCGA, left), patients with claudin-low and basal tumors had worse OS compared to patients
with luminal tumors. The prognostic significance of each subtype changed in the context of NAC (right). While patients with claudin-low tumors still
E U R O P E A N U R O L O G Y 7 2 ( 2 0 1 7 ) 5 4 4 – 5 5 4
549




